最終更新日: 2026年3月26日 by 渡邉 俊
マーケティングリサーチの学び場『Lactivator』代表。自動車会社でマーケティングリサーチに従事後、誰でも気軽にマーケティングを学べる場として2012年に本サイトを開設。また故郷:群馬県の活性化の為、2013年より上毛かるたの日本一決定戦『KING OF JMK』を主宰。著書『上毛かるたはカタル』も発売中。 ●無料メールで学ぶマーケティング講座配信中⇒こちら
こんにちは、マーケティングリサーチャーの渡邉俊です。
今日は『アンケート調査を行う時に必要な回答者数(サンプルサイズ)』についてお話しいたします。
実はこの件、僕がセミナーをやっていると一番多い受ける質問です。
アンケートをやるからにはきちんとしたデータを得たいですし、アンケート設計の重要な要素です。
今日はその話をしたいと思います。
※動画で解説を見たい方はこちらをどうぞ!
また良ければチャンネル登録も宜しくお願い致します!
【いきなり結論】アンケートにおける適切なサンプルサイズ
まず結論を申し上げると、サンプルサイズは多ければ多いほど良いです。
・・・それは当たり前ですよね(笑)
スミマセン。バカにしている訳ではありません。
ただアンケートというのは統計調査ですから、サンプルサイズが多いに越した事はないという事をまず頭に入れていただければと思います。
但し、敢えて具体的なサンプルサイズを言わなければならないとしたら、目安としてn=400という数字を頭の中に置いといていただければと思います。
アンケートは「サンプリング調査(標本調査)」
ちょっと堅苦しい話になりますが、一般的にアンケートというのは、対象となる母集団から一部の方を抽出して行う「サンプリング調査(標本調査)」です。
『母集団』というのは対象としている集団全体という事ですね。
その中から何人かをピックアップして調査をし、母集団全体の実態を読み取るという事です。
しかし、サンプルサイズが少ないと誤差が大きくなってしまい、母集団の代表と言えるような結果が得られません。
一方で多すぎると、誤差は小さくなるものの調査自体にかかる費用と手間が増えていきます。
サンプルサイズの決め方
サンプルサイズを決める前に明確にしておくこと
きちんとサンプルサイズを決める為には以下2つのことを明らかにしておく必要があります。
・母集団の規模はどの程度か?
・どの程度の正確性(許容できる誤差)を要求するのか?
順に説明していきましょう。
母集団規模別の必要サンプルサイズ
先程申し上げた通り、サンプリング調査では抽出して行った結果が、母集団を代表しているものでないといけません。
従いまして、母集団の規模が大きいほど必要なサンプルサイズも多くなります。
例えば、許容誤差±5%を要求する場合、必要なサンプルサイズは以下です。
※【計算前提】許容誤差:±5%,信頼レベル:95%、回答比率:50%
母集団が多くなるにつれ、必要なサンプルサイズも増えていますよね。
ここで注目していただきたいのは、10,000人を超えると必要なサンプルサイズはあまり変化せず、400以下で収束しています。
従いまして、母集団が1,000人以上の場合は、400人程度のサンプルサイズを見込めば誤差±5%の範囲内でデータを得る事ができる訳です。
要求する正確性別の必要サンプルサイズ
またどの程度の正確性を求めるのかによっても必要なサンプルサイズは異なります。
アンケートの結果には必ず誤差が生まれ、また母集団の全員に調査を行わない限り、誤差を0にすることは不可能です。
また、誤差の程度を測る指標として、
●許容誤差
●信頼レベル
というものがあります。
①許容誤差
アンケートで得られた結果が、母集団からどの位ずれている『可能性』があるかを表す指標です。
例えば、アンケートで「防災に興味を持っている日本人は全体の60%」という結果が出た場合、許容誤差が±10%であるならば、母集団では「防災に興味を持っている日本人は65%~75%」ということになるのです。
勘違いする方が多いのは、これはあくまで可能性です。
許容誤差:10%というと『必ず10%はずれる』と勘違いされる方も多いのですが、あくまで『±10%はずれる可能性がある』という意味なので注意して下さい。
②信頼レベル
抽出したサンプルが、どのくらいの確率で許容誤差内の結果となるかを表す指標です。
例えば信頼レベル90%というと、「100人中90人は許容誤差内」であることを示します。
ご参考までに、以下は母集団1000万人のときの許容誤差と信頼レベルを保つために必要なサンプルサイズです。
サンプルサイズが多ければ、許容誤差が小さくかつ信頼レベルの高い調査を行う事ができる訳です。
ではどの位の許容誤差と信頼レベルに設定すればよいのか?ですが、一般的に許容誤差は1~10%、信頼レベルは90~99%の範囲に設定します。
ただビジネスの判断を行うレベルであれば、まずは最高でも許容誤差:5%、信頼レベル:95%くらいを設定するでよいのではと思います。
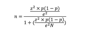
必要サンプルサイズを求める公式
ここから先はかなり深い統計学に入りますので、数式を見るとじんましんができる人は見なくてもよいです(笑)
統計学的に必要サンプルサイズは以下の計算式で算出する事ができます。
n:必要なサンプルサイズ (人)
N:母集団の規模 (人)
z:信頼レベル <Zスコア>
p:回答比率 (%:小数点表記)
e:許容誤差 (%:小数点表記)
先程示した必要サンプルサイズもこの数式で算出しています。
zというのは信頼レベル(信頼度)ですが、ここでは『Zスコア』という数値を使います。
Zスコアは平均値から標準偏差いくつぶん乖離しているかを表したものであり、信頼レベルが90% →1.65、95%→1.96、99%→2.58を使います。
またpは『回答比率』です。
サンプル数は特定の回答を選ぶサンプルの割合によって異なります。
例えば顧客満足度調査で、前回のアンケートでは60%の人が「満足した」と回答した場合、再調査ではp = 0.60を使って必要サンプルサイズを計算する必要があります。
しかしほとんどのアンケートでは複数の質問を行うので回答比率を固定することができません。
その為通常は、p = 0.5を使って最適なサンプルサイズを計算します。
【自動計算フォーム】必要なサンプルサイズ
上記の方法を使って必要なサンプルサイズをもとめる自動計算フォームをこちらに置いておきます。
是非お使い下さい。
●母集団の規模
●信頼レベル
●許容誤差
●回答比率
をそれぞれ入力すれば、自動的に必要なサンプルサイズが一番下に出力されます。
※ブラウザによっては動かない事もあるようなので予めご了承ください。Google Chromeについては作動確認できています。
最終的な判断は『調査コスト』と『正確さ』の2つで!
上記の通り、サンプルサイズはn=400というのが基準になります。
但しこれはあくまで基準です。
より正確さを求める場合は更に増やしていく必要があるので、その場合は上記の式で必要サンプルサイズを求めていただければと思います。
但し、冒頭でも申し上げた通り、サンプルサイズを増やせば調査コストも手間も増えます。
従いまして、最終的にサンプルサイズは『求める正確さ』と『かけられるコスト』とで総合的に判断していただければOKです。
もちろん、国家機関や統計学者が行う調査であれば統計的な正確さが必要です。
しかし我々は違って、大事なのは『100回調査をしたら99回同じ結果が出るくらい正しい情報か?』よりも『経営判断できる情報か?』という事です。
言い換えれば、100%確実なデータでなくても90%のデータからだって経営判断できる訳ですから。
あまり統計学に縛られなくても良いと思います。
よくある質問
Q1:アンケートのサンプルサイズは、最低何件あれば「統計的に有効」と言えますか?
A1: 一般的なマーケティングリサーチでは、許容誤差5%・信頼レベル95%を基準とした「400サンプル」が一つの目安となります。ただし、性別や年代で細かく分析したい場合は、各グループで100サンプル以上確保することをお勧めします。
Q2:母集団の数が正確に分からない場合、どう計算すればよいですか?
A2: 母集団が十分に大きい(数万人以上など)場合、計算結果はほとんど変わりません。その場合は、便宜上「1,000,000(100万人)」などの大きな数値を入力して計算すれば、安全な必要サンプルサイズを導き出せます。
Q3:計算結果通りのサンプル数が集まらない時はどうすればいいですか?
A3: 無理に集めるよりも、誤差が大きくなることを許容した上で分析を進めるのも現実的な判断です。その際のデータの読み解き方や、失敗しない調査設計のコツは、当サイトの「無料メール講座」でも詳しく解説しています。






















